ما هو صافي القيمة الحالية؟
صافي القيمة الحالية (NPV) هو الفرق بين القيمة الحالية للتدفقات النقدية الداخلة والقيمة الحالية للتدفقات النقدية الخارجة على مدى فترة زمنية. يتم استخدام صافي القيمة الحالية في إعداد الميزانية الرأسمالية وتخطيط الاستثمار لتحليل ربحية استثمار أو مشروع متوقع.
صافي القيمة الحالية هو نتيجة العمليات الحسابية المستخدمة للعثور على القيمة الحالية لتدفق المدفوعات في المستقبل. يمثل صافي القيمة الحالية القيمة الزمنية للنقود ويمكن استخدامه لمقارنة بدائل الاستثمار المماثلة. يعتمد صافي القيمة الحالية على معدل الخصم الذي يمكن اشتقاقه من تكلفة رأس المال المطلوب للقيام بالاستثمار، ويجب تجنب أي مشروع أو استثمار مع صافي القيمة الحالية سالب. أي أن صافي القيمة الحالية يحدد ما إذا كان المشروع يستحق الاستثمار فيه أم لان فإذا كانت قيمته موجبة، فإن المشروع يستحق الاستثمار فيه.1
ملخص لأهم النقاط:
- يتم استخدام صافي القيمة الحالية، لحساب القيمة الإجمالية الحالية لتدفق المدفوعات في المستقبل.
- لحساب صافي القيمة الحالية، تحتاج إلى تقدير توقيت ومقدار التدفقات النقدية المستقبلية واختيار معدل خصم يساوي الحد الأدنى المقبول لمعدل العائد.
- قد يعكس معدل الخصم تكلفة رأس المال أو العوائد المتاحة على الاستثمارات البديلة ذات المخاطر المماثلة.
- إذا كان صافي القيمة الحالية لمشروع أو استثمار موجبة، فهذا يعني أن معدل العائد سيكون أعلى من معدل الخصم.
معادلة حساب صافي القيمة الحالية
- إذا كان هناك تدفق نقدي واحد من مشروع سيتم دفعه بعد عام واحد من الآن، فسيكون حساب صافي القيمة الحالية للمشروع كما يلي:

حيث أن: (i) هي معدل الخصم أو العائد المطلوب، و (t) هي عدد الفترات الزمنية
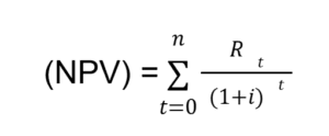
- في حالة تحليل مشروع طويل الأجل بتدفقات نقدية متعددة، تكون معادلة صافي القيمة الحالية للمشروع كما يلي:

حيث أن: ( (Rtهي صافي التدفقات النقدية الداخلة والخارجة خلال فترة واحدة هي (t)، بينما (i) هي معدل الخصم أو العائد الذي يمكن تحقيقه في الاستثمارات البديلة، و(n) هي عدد الفترات الزمنية.
- وإليك طريقة أسهل لتذكر مفهوم صافي القيمة الحالية:2
صافي القيمة الحالية = قيمة التدفقات النقدية المتوقعة اليوم – قيمة الأموال النقدية المستثمرة اليوم
مفهوم صافي القيمة الحالية
حسابات صافي القيمة الحالية للقيمة الزمنية للنقود ويمكن استخدامها لمقارنة معدلات عائد المشاريع المختلفة، أو لمقارنة معدل العائد المتوقع مع معدل العقبة المطلوب للموافقة على الاستثمار.3
يتم تمثيل القيمة الزمنية للنقود في معادلة صافي القيمة الحالية بمعدل الخصم، والذي قد يكون معدل عقبة لمشروع ما بناءً على تكلفة رأس مال الشركة. بغض النظر عن كيفية تحديد معدل الخصم، يوضح صافي القيمة الحالية السلبية أن معدل العائد المتوقع سيكون أقل من ذلك، مما يعني أن المشروع لن يخلق قيمة.4 5
في سياق تقييم الأوراق المالية للشركات، يُطلق على حساب صافي القيمة الحالية غالبًا تحليل التدفق النقدي المخصوم (DCF). إنها الطريقة التي يستخدمها وارين بافيت لمقارنة صافي القيمة الحالية لعوامل التدفقات النقدية المستقبلية للشركة بسعرها الحالي.6
معدل الخصم أساسي في المعادلة. إنه يفسر حقيقة أنه طالما أن أسعار الفائدة إيجابية، فإن الدولار اليوم يساوي أكثر من دولار في المستقبل. يؤدي التضخم إلى تآكل قيمة المال بمرور الوقت. يمكن استثمار دولار اليوم كذلك في أصول آمنة مثل السندات الحكومية. إن الاستثمارات التي تكون أكثر خطورة من سندات الخزانة تدر معدل عائد مرتفع. ومع ذلك، فإن معدل الخصم هو ببساطة المعدل الأساسي للعائد الذي يجب أن يتجاوزه المشروع ليكون ذا قيمة.
على سبيل المثال، يمكن للمستثمر أن يحصل على 100 دولار اليوم أو بعد عام من الآن. لن يرغب معظم المستثمرين في تأجيل تلقي 100 دولار اليوم. ومع ذلك، ماذا لو اختار المستثمر الحصول على 100 دولار اليوم أو 105 دولارات في عام واحد؟ قد يكون معدل العائد بنسبة 5% للانتظار لمدة عام واحدًا مفيدًا للمستثمر ما لم يحقق استثمار آخر معدل أعلى من 5% خلال نفس الفترة.
إذا علم المستثمر أنه يمكن أن يكسب 8% من استثمار آمن نسبيًا خلال العام المقبل، فسيختار الحصول على 100 دولار اليوم وليس 105 دولارات في السنة، بمعدل عائد 5%. في هذه الحالة، سيكون 8% هو معدل الخصم.
ملحوظة: عندما يرتفع سعر الفائدة ، يزداد أيضا معدل الخصم المستخدم في حساب صافي القيمة الحالية. يقلل معدل الخصم المرتفع هذا من القيمة الحالية للتدفقات النقدية المستقبلية ، مما يؤدي إلى انخفاض صافي القيمة الحالية. ونتيجة لذلك، تصبح المشاريع أو الاستثمارات أقل جاذبية لأن ربحيتها المحتملة تبدو متناقصة عند تقييمها مقابل معدل عائد مطلوب أعلى.
صافي القيمة الحالية الإيجابي وصافي القيمة الحالية السلبي
يشير صافي القيمة الحالية الإيجابية إلى أن الأرباح المتوقعة الناتجة عن مشروع أو استثمار – بالدولار الحالي – تتجاوز التكاليف المتوقعة، أيضًا بالدولار الحالي. من المفترض أن يكون الاستثمار ذو صافي القيمة الحالية الإيجابي مربحًا.
الاستثمار مع صافي قيمة حالية سالب سينتج عنه خسارة صافية. هذا المفهوم هو الأساس لقاعدة صافي القيمة الحالية، والتي تنص على أنه يجب النظر فقط في الاستثمارات ذات قيم صافي القيمة الحالية الإيجابية.7
كيفية حساب صافي القيمة الحالية باستخدام إكسل (Excel)
في إكسل (Excel)، توجد دالة صافي القيمة الحالية التي يمكن استخدامها لحساب صافي القيمة الحالية لسلسلة من التدفقات النقدية بسهولة. هذه أداة شائعة في النمذجة المالية. إن دالة صافي القيمة الحالية في برنامج إكسل (Excel) هي ببساطة “صافي القيمة الحالية”، ومتطلب المعادلة الكامل هو:
= صافي القيمة الحالية (معدل الخصم ، التدفق النقدي المستقبلي) + الاستثمار المبدئي

مثال على حساب صافي القيمة الحالية
تخيل أن شركة ما يمكنها الاستثمار في معدات تكلف 1.000.000 دولار ومن المتوقع أن تدر 25.000 دولار شهريًا في الإيرادات لمدة خمس سنوات. بدلًا من ذلك، يمكن للشركة استثمار هذه الأموال في الأوراق المالية بعائد سنوي متوقع بنسبة 8%. تنظر الإدارة إلى المعدات والأوراق المالية كمخاطر استثمارية قابلة للمقارنة.
هناك خطوتان رئيسيتان لحساب صافي القيمة الحالية للاستثمار في المعدات:
الخطوة الأولى: صافي القيمة الحالية للاستثمار الأولي
نظرًا لأن المعدات تُدفع مقدمًا، فهذا هو أول تدفق نقدي يتم تضمينه في الحساب. لا يوجد وقت منقضي يجب احتسابه، لذا لا يلزم خصم التدفق الخارج اليوم البالغ 1,000,000 دولار.
الخطوة الثانية: صافي القيمة الحالية للتدفقات النقدية المستقبلية
تحديد عدد الفترات (t)
من المتوقع أن تولد المعدات تدفقات نقدية شهرية وتستمر لمدة خمس سنوات، مما يعني أنه سيكون هناك 60 تدفقات نقدية و60 فترة مدرجة في الحساب.
تحديد معدل الخصم (i)
من المتوقع أن يدفع الاستثمار البديل 8% سنويًا. ومع ذلك، نظرًا لأن المعدات تولد تدفقًا شهريًا للتدفقات النقدية، فيجب تحويل معدل الخصم السنوي إلى معدل دوري أو شهري. باستخدام المعادلة التالية نجد أن المعدل الدوري هو 0.64%.

افترض أن التدفقات النقدية الشهرية قد تم اكتسابها في نهاية الشهر، مع وصول الدفعة الأولى بالضبط بعد شهر واحد من شراء المعدات. هذه دفعة مستقبلية، لذا يجب تعديلها وفقًا للقيمة الزمنية للنقود. يمكن للمستثمر إجراء هذا الحساب بسهولة باستخدام جدول بيانات أو آلة حاسبة. لتوضيح المفهوم، يتم عرض الدفعات الخمس الأولى في الجدول أدناه.

الحساب الكامل للقيمة الحالية يساوي القيمة الحالية لجميع التدفقات النقدية المستقبلية الستين، مطروحًا منها استثمار 100,0000 دولار. قد يكون الحساب أكثر تعقيدًا إذا كان من المتوقع أن يكون للمعدات أي قيمة متبقية في نهاية عمرها الافتراضي، ولكن في هذا المثال، يُفترض أنها عديمة القيمة.

يمكن تبسيط هذه المعادلة إلى الحساب التالي:
صافي القيمة الحالية = 1.000.000 + 1.242.322,82 = 2,242,322.82 دولار أمريكي
في هذه الحالة، صافي قيمة حالية موجبة؛ يجب شراء المعدات. إذا كانت القيمة الحالية لهذه التدفقات النقدية سالبة لأن معدل الخصم كان أكبر، أو كان صافي التدفقات النقدية أقل، كان ينبغي تجنب الاستثمار.
قيود صافي القيمة الحالية
إن أحد القيود الملحوظة لتحليل صافي القيمة الحالية هو أنه يفترض أحداثًا مستقبلية قد لا تثبت صحتها. إن قيمة معدل الخصم المستخدمة هي حكم قضائي، في حين أن تكلفة الاستثمار وعوائده المتوقعة هي بالضرورة تقديرات. إن حساب صافي القيمة الحالية لا يمكن الاعتماد عليه إلا بقدر ما تعتمد عليه افتراضاته الأساسية.8 9
تعطي معادلة صافي القيمة الحالية نتيجة بالدولار، ورغم سهولة تفسيرها، فقد لا تعكس الحقيقة الكاملة عن الاستثمار. فكر في خياري الاستثمار التاليين: الخيار (أ) بقيمة صافية حالية تبلغ 100,000 دولار، أو الخيار (ب) بقيمة صافية حالية تبلغ 1,000 دولار.
إيجابيات وسلبيات صافي القيمة الحالية
| إيجابيات | سلبيات |
|
|
صافي القيمة الحالية وفترة الاسترداد
إنه قرار سهل، أليس كذلك؟ ماذا لو كان الخيار (أ) يتطلب استثمارًا أوليًا بقيمة 1.000.000 دولار، بينما سيكلف الخيار (ب) 10 دولارات فقط؟ الأرقام المتطرفة في المثال توضح هذه النقطة.
لا تقيم معادلة صافي القيمة الحالية عائد الاستثمار للمشروع، وهو اعتبار أساسي لأي شخص لديه رأس مال محدود. ورغم أن معادلة صافي القيمة الحالية تقدر مقدار القيمة التي سينتجها المشروع، إلا أنها لا توضح ما إذا كان استخدامًا فعالاً لأموال الاستثمار الخاصة بك.
تعتبر فترة الاسترداد، أو طريقة الاسترداد، بديلًا أبسط للقيمة الحالية الصافية. تحسب طريقة الاسترداد المدة التي سيستغرقها استرداد الاستثمار. أحد عيوب هذه الطريقة هو أنها تفشل في حساب القيمة الزمنية للمال. ولهذا السبب، فإن فترات الاسترداد المحسوبة للاستثمارات الأطول أجلًا لديها إمكانية أكبر لعدم الدقة.
وعلاوة على ذلك، لا يهتم حساب فترة الاسترداد بما يحدث بمجرد استرداد تكاليف الاستثمار اسميًا. قد يتغير معدل العائد على الاستثمار بشكل كبير بمرور الوقت. وتفترض المقارنات التي تستخدم فترات الاسترداد عكس ذلك.10
العلاقة بين صافي القيمة الحالية ومعدل العائد الداخلي
يتم حساب معدل العائد الداخلي من خلال حل معادلة صافي القيمة الحالية لمعدل الخصم المطلوب لجعل صافي القيمة الحالية مساوية للصفر. يمكن استخدام هذه الطريقة لمقارنة المشاريع ذات فترات زمنية مختلفة على أساس معدلات العائد المتوقعة.11
على سبيل المثال، يمكن استخدام معدل العائد الداخلي لمقارنة الربحية المتوقعة لمشروع مدته ثلاث سنوات مع ربحية مشروع مدته عشر سنوات. على الرغم من أن معدل العائد الداخلي مفيد لمقارنة معدلات العائد، إلا أنه قد يحجب حقيقة أن معدل العائد على المشروع الذي مدته ثلاث سنوات متاح فقط لمدة ثلاث سنوات، وقد لا يتم مطابقته بمجرد إعادة استثمار رأس المال.
أسئلة شائعة
هل صافي القيمة الحالية المرتفع أم المنخفض أفضل؟
تعتبر القيمة الأعلى أفضل بشكل عام. تشير صافي القيمة الحالية الإيجابية إلى أن الأرباح المتوقعة من الاستثمار تتجاوز التكاليف المتوقعة، مما يمثل مشروعًا مربحًا. يشير صافي القيمة الحالية المنخفضة أو السلبية إلى أن التكاليف المتوقعة تفوق الأرباح، مما يشير إلى خسائر مالية محتملة. لذلك، عند تقييم فرص الاستثمار، فإن صافي القيمة الحالية الأعلى هو مؤشر إيجابي، يتماشى مع تعظيم الربحية وخلق قيمة طويلة الأجل.
ما الفرق بين صافي القيمة الحالية ومعدل العائد الداخلي؟
صافي القيمة الحالية ومعدل العائد الداخلي مفهومان وثيقا الصلة، حيث أن معدل العائد الداخلي للاستثمار هو معدل الخصم الذي من شأنه أن يجعل صافي القيمة الحالية لهذا الاستثمار صفرًا. طريقة أخرى للتفكير في الاختلافات هي أن كلاهما يحاول الإجابة على سؤالين منفصلين ولكن مرتبطين حول الاستثمار. بالنسبة لصافي القيمة الحالية، فإن السؤال هو، “ما هو إجمالي مبلغ المال الذي سأربحه إذا واصلت هذا الاستثمار، بعد النظر في القيمة الزمنية للمال؟” بالنسبة لمعدل العائد الداخلي، فإن السؤال هو، “إذا واصلت هذا الاستثمار، فما هو معدل العائد السنوي المكافئ الذي سأحصل عليه؟”
لماذا يتم خصم التدفقات النقدية المستقبلية؟
تستخدم صافي القيمة الحالية التدفقات النقدية المخفضة لحساب القيمة الزمنية للمال. طالما أن أسعار الفائدة إيجابية، فإن الدولار اليوم يساوي أكثر من الدولار غدًا لأن الدولار اليوم يمكن أن يكسب فائدة يوم إضافي. حتى لو كان من الممكن توقع العائدات المستقبلية بيقين، فيجب خصمها لأن الوقت يجب أن يمر قبل أن تتحقق – الوقت الذي يمكن خلاله لمبلغ مماثل أن يكسب فائدة.
هل صافي القيمة الحالية أم العائد على الاستثمار أكثر أهمية؟
كل من صافي القيمة الحالية والعائد على الاستثمار مهمان، لكنهما يخدمان غرضين مختلفين. يوفر صافي القيمة الحالية مبلغًا بالدولار يشير إلى الربحية المتوقعة للاستثمار، مع مراعاة القيمة الزمنية للمال. وعلى العكس من ذلك، يعبر العائد على الاستثمار عن كفاءة الاستثمار كنسبة مئوية، مما يوضح العائد بالنسبة لتكلفة الاستثمار. غالبًا ما يُفضَّل استخدام صافي القيمة الحالية لإعداد ميزانية رأس المال لأنها تعطي مقياسًا مباشرًا للقيمة المضافة، في حين يكون العائد على الاستثمار مفيدًا لمقارنة كفاءة الاستثمارات المتعددة.
لماذا يجب عليك اختيار مشروع بقيمة حالية صافية مرتفعة؟
يُنصح باختيار مشروع بقيمة حالية صافية أعلى لأنه يشير إلى ربحية أكبر وخلق قيمة أكبر. تعني صافي القيمة الحالية الأعلى أن التدفقات النقدية المتوقعة، المخصومة إلى قيمتها الحالية، تتجاوز بشكل كبير الاستثمار الأولي والتكاليف المرتبطة به. يشير هذا إلى أن المشروع من المرجح أن يولد المزيد من الثروة، مما يعزز الصحة المالية العامة للشركة وآفاق النمو. في النهاية، تتوافق صافي القيمة الحالية الأعلى مع تعظيم قيمة المساهمين.
الخلاصة
يقارن صافي القيمة الحالية قيمة التدفقات النقدية المستقبلية بالتكلفة الأولية للاستثمار. وهذا يسمح للشركات والمستثمرين بتحديد ما إذا كان المشروع أو الاستثمار سيكون مربحًا. تشير صافي القيمة الحالية الإيجابية إلى أن الاستثمار سيكون مربحًا بينما يشير صافي القيمة الحالية السلبية إلى أنه سيتكبد خسارة.
يمكن للشركات استخدام صافي القيمة الحالية عند الاختيار بين المشاريع المختلفة بينما يمكن للمستثمرين استخدامه للاختيار بين فرص الاستثمار المختلفة.
هوامش
- LibreTexts Mathematics. “Business Math (Olivier); 15.1, Net Present Value.“
- LibreTexts Mathematics. “Business Math (Olivier); 15.1, Net Present Value.“
- Harvard Business Review. “A Refresher on Net Present Value.”
- LibreTexts Mathematics. “Business Math (Olivier); 15.1, Net Present Value.“
- Michigan State University Libraries, Pressbook. “Financial Management for Small Businesses, 2nd OER Edition; 9, Present Value Models.“
- Terry College of Business at the University of Georgia. “Warren Buffett, Chairman, Berkshire Hathaway Investment Group | Terry Leadership Speaker Series,” at 20:00, July 18, 2001. (YouTube, Video.)
- LibreTexts Mathematics. “Business Math (Olivier); 15.1, Net Present Value.“
- Rice University, OpenStax. “Principles of Finance; 16.2, Net Present Value (NPV) Method.“
- LibreTexts Mathematics. “Business Math (Olivier); 15.1, Net Present Value.“
- Michigan State University Libraries, Pressbook. “Financial Management for Small Businesses, 2nd OER Edition; 9, Present Value Models.“
- Michigan State University Libraries, Pressbook. “Financial Management for Small Businesses, 2nd OER Edition; 9, Present Value Models.“
