ما هو المتوسط التوافقي؟
المتوسط التوافقي هو نوع من المتوسط العددي. يتم حسابه بقسمة عدد الملاحظات على مقلوب كل رقم في السلسلة. وبالتالي، فإن الوسط التوافقي هو مقلوب للمتوسط الحسابي للمبادلات.
المتوسط التوافقي لـ 1 و4 و4 هو:

نقطة مهمة: مقلوب العدد n هو ببساطة 1/n.
أساسيات المتوسط التوافقي
يساعد الوسط التوافقي في إيجاد علاقات الضرب أو القسمة بين الكسور دون القلق بشأن القواسم المشتركة. غالبًا ما تُستخدم الوسائل التوافقية في حساب متوسط أشياء مثل المعدلات (على سبيل المثال، متوسط سرعة السفر نظرًا لمدة عدة رحلات).
يتم استخدام المتوسط التوافقي الموزون في الأمور المالية لمتوسط المضاعفات مثل نسبة السعر إلى الأرباح لأنه يعطي وزناً متساوياً لكل نقطة بيانات. إن استخدام وسيلة حسابية مرجحة لمتوسط هذه النسب من شأنه أن يعطي وزناً أكبر لنقاط البيانات المرتفعة مقارنة بنقاط البيانات المنخفضة لأن نسب السعر إلى الأرباح لا يتم ضبطها حسب السعر بينما تتساوى الأرباح.
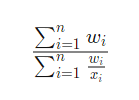
المتوسط التوافقي هو المتوسط التوافقي الموزون، حيث تكون الأوزان مساوية لـ 1. المتوسط التوافقي الموزون x1 ،x2 ،x3 مع الأوزان المقابلة w1،w2 ،w3 يُعطى على النحو التالي:

ملخص لأهم النقاط
- إن الوسط التوافقي هو مقلوب الوسط الحسابي للمبادلات.
- يتم استخدام الوسائل التوافقية في المالية لمتوسط البيانات مثل مضاعفات الأسعار.
- يمكن أيضًا استخدام الوسائل التوافقية بواسطة فنيي السوق لتحديد أنماط مثل متواليات فيبوناتشي.
المتوسط التوافقي مقابل المتوسط الحسابي والمتوسط الهندسي
تشمل الطرق الأخرى لحساب المتوسطات المتوسط الحسابي البسيط والمتوسط الهندسي. المتوسط الحسابي هو مجموع سلسلة من الأرقام مقسومة على عدد تلك السلسلة من الأرقام. إذا طُلب منك العثور على متوسط درجات الاختبار للفصل الدراسي (الحسابي)، فيمكنك ببساطة جمع جميع درجات اختبار الطلاب، ثم قسمة هذا المجموع على عدد الطلاب. على سبيل المثال، إذا أجرى خمسة طلاب اختبارًا وكانت درجاتهم 60٪ و70٪ و80٪ و90٪ و100٪، فسيكون متوسط الفصل الحسابي 80٪.
المتوسط الهندسي هو متوسط مجموعة من المنتجات، يستخدم حسابها عادة لتحديد نتائج أداء الاستثمار أو المحفظة. يتم تعريفه تقنيًا على أنه “ناتج الجذر n للعدد n” يجب استخدام الوسط الهندسي عند التعامل مع النسب المئوية المشتقة من القيم، بينما يعمل المتوسط الحسابي القياسي مع القيم نفسها.
أفضل استخدام للمتوسط التوافقي للكسور مثل المعدلات أو المضاعفات.
مثال على المتوسط التوافقي
كمثال، خذ شركتين. واحد تبلغ قيمته السوقية 100 مليار دولار وأرباح 4 مليارات دولار (نسبة السعر إلى الأرباح هي 25) والآخر برأسمال سوقي 1 مليار دولار وأرباح 4 ملايين دولار (نسبة السعر للأرباح هي 250). في مؤشر مكون من سهمين، حيث تم استثمار 10٪ في الأول و90٪ في الثاني، تكون نسبة السعر إلى العائد للمؤشر هي:

WAM = المتوسط الحسابي المرجح
P / E = نسبة السعر إلى الأرباح
WHM = الوسط التوافقي المرجح
كما يمكن أن نرى، فإن المتوسط الحسابي التوافقي يبالغ في تقدير متوسط نسبة السعر إلى الأرباح.
