اختر صفحة

الارتباط (Correlation)

ما هو الارتباط؟
الارتباط، في قطاعي التمويل والاستثمار، هو مفهوم إحصائي يقيس درجة تغير ورقتين ماليتين وعلاقتهما ببعضهما البعض. ويتم استخدام الارتباطات في إدارة المحافظ المتقدمة، والتي يتم حسابها بمعامل الارتباط، وتكون قيمته بين -1.0 و +1.0.

ملخص لأهم النقاط:

  • الارتباط هو مفهوم إحصائي يقيس الدرجة التي يتحرك بها متغيرين وعلاقتهما ببعضهما البعض.
  • في مجال التمويل، يمكن أن يقيس الارتباط حركة السهم بمؤشر معياري، مثل اس اند بي 500 (S&P 500).
  • يقيس الارتباط الترابط، ولكنه لا يوضح ما إذا كان المتغير x يُسبب المتغير y أو العكس، أو إذا كان الارتباط ناتجًا عن عامل ثالث – ربما غير مرئي.

مفهوم الارتباط
يوضح الارتباط قوة العلاقة بين متغيرين ويتم التعبير عنه عدديًا بواسطة معامل الارتباط. وتتراوح قيم معامل الارتباط بين -1.0 و 1.0. ويعني الارتباط الإيجابي التام أن معامل الارتباط هو بالضبط 1. وهذا يعني أنه عندما تتحرك ورقة مالية، إما لأعلى أو لأسفل، تتحرك الورقة المالية الآخرى بشكل متزامن، في نفس الاتجاه. ويعني الارتباط السلبي التام أن أصلين يتحركان في اتجاهين متعاكسين، بينما يشير الارتباط الصفري إلى عدم وجود علاقة خطية على الإطلاق.
على سبيل المثال، تتمتع صناديق الاستثمار المشتركة ذات رؤوس الأموال الكبيرة عمومًا بارتباط إيجابي كبير بمؤشر اس اند بي 500 وتقارب قيمته واحد. الأسهم ذات رؤوس الأموال الصغيرة لها علاقة إيجابية بمؤشر اس اند بي 500، ولكنها ليست عالية أو تقارب قيمة معامل الارتباط من 0.8.
ومع ذلك، تميل أسعار خيارات البيع وأسعار الأسهم الأساسية إلى أن يكون لها ارتباط سلبي. للتذكير، يمنح خيار البيع المالك الحق، ولكن ليس الالتزام، لبيع عدد محدد من الأوراق المالية الأساسية بسعر محدد مسبقًا خلال إطار زمني محدد. وتصبح عقود خيار البيع أكثر ربحية عندما ينخفض ​​سعر السهم الأساسي. بعبارة أخرى، مع ارتفاع سعر السهم، تنخفض أسعار خيار البيع، وهو ارتباط سلبي مباشر وكبير الحجم.

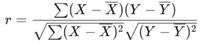
معادلة الارتباط هي

حيث:
r = معامل الارتباط
X = متوسط ملاحظات المتغير X
Y= متوسط ملاحظات المتغير y

نقطة مهمة: الارتباط لا يعني السببية!

مثال على الارتباط
يجد مديرو الاستثمار والمتداولون والمحللون أنه من المهم جدًا حساب الارتباط لأن فوائد التنويع في تقليل المخاطر تعتمد على هذه الإحصائية. يمكن للجداول المالية والبرمجيات حساب قيمة الارتباط بسرعة.
كمثال افتراضي، افترض أن المحلل يحتاج إلى حساب الارتباط لمجموعتي البيانات التاليتين:
X): (41، 19، 23، 40، 55، 57، 33)
Y): (94، 60، 74، 71، 82، 76، 61)
هناك ثلاث خطوات متضمنة في إيجاد معامل الارتباط. الأول هو جمع جميع قيم X للعثور على X أو (SUM (X  و جمع جميع قيم Y للحصول على (Y) أو (SUM (Y وبعد ذلك اضرب كل من قيمة X مع قيمتها المقابلة من Y واجمعها للحصول على (X, Y) أو (SUM (X، Y:
SUM (X)  = (41 + 19 + 23 + 40 + 55 + 57 + 33) = 268
SUM (Y) = (94 + 60 + 74 + 71 + 82 + 76 + 61) = 518
SUM (X، Y) = (41 × 94) + (19 × 60) + (23 × 74) + … (33 × 61) = 20391

الخطوة التالية هي أخذ كل قيمة  من قيم  X وجمع كل هذه القيم للعثور على مربع مجموع قيم X أو SUM (X)^ 2.
ويجب أن يتم نفس الشيء مع قيم Y:
SUM (X ^ 2) = (41 ^ 2) + (19 ^ 2) + (23 ^ 2) + … (33 ^ 2) = 11534
SUM (Y ^ 2) = (94 ^ 2) + (60 ^ 2) + (74 ^ 2) + … (61 ^ 2) = 39174

مع ملاحظة أن هناك سبع قيم، N، يمكن استخدام الصيغة التالية لإيجاد معامل الارتباط r:

في هذا المثال، سيكون الارتباط:
r = (7 x 20,391 – (268 x 518) / SquareRoot((7 x 11,534 – 268^2) x (7 x 39,174 – 518^2)) = 3,913 / 7,248.4 = 0.54

اشترك في نشرتنا الإخبارية
اشترك في نشرتنا الإخبارية

 

انضم إلى قائمتنا البريدية لتلقي آخر الأخبار والتحديثات من فريقنا.

لقد تم اشتراكك بنجاح!

Share This